🐳 문제 - [백준] CCW (11758번)

🐳 알고리즘 - CCW ( Counter Clock Wise )
🎯 CCW 란 ?
CCW 알고리즘은 좌표평면 위의 세 점이 이루는 관계를 알기 위한 알고리즘이다.
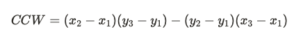
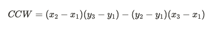
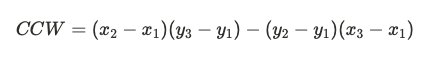
먼저 식부터 살펴보면 아래의 식과 같습니다.

우선 위의 식이 어디서 나왔는지 알아야합니다.
위의 식은 좌표 평면 위의 세 점이 만드는 삼각형의 넓이를 벡터의 외적을 이용해 구하는 식입니다.
먼저 세 점을 이용해 두 벡터를 만듭니다. 저는 (x1,y1) 을 기준으로 두 벡터를 만들어 주겠습니다.
그 럼 두 벡터를 v1, v2 라고 합시다. v1 = (x2-x1, y2-y1), v2 = (x3-x1,y3-y1) 이 됩니다.
이 두 벡터를 외적해 줍니다. 외적한 결과는 크기와 방향을 가집니다.
외적한 값의 크기는 두 벡터가 만드는 평행사변형의 넓이 = S 입니다.
방향을 정하는 방법은 다음과 같습니다.
1. v1의 끝점과 v2 벡터의 시작점을 이어 줍니다.
2. 손 바닥을 펴 v1 방향으로 엄지를 제외한 손가락을 향해줍니다.
3. v2 방향으로 손가락을 감아줍니다.
4. 그 때 엄지가 가르키는 방향이 외적벡터의 방향입니다.
이렇듯 CCW 는 삼각형의 넓이를 외적을 이용해 구할 때 나오는 식이고 이 식은 방향성과 크기를 가지는 외적 값입니다.
이 때 외적의 방향성을 이용해서 두 벡터가 이루는 관계가 반시계인지 시계인지 알 수 있게 되는 것입니다.
CCW의 결과에 따라
CCW > 0 인 경우 세 점이 이루는 방향이 반시계 방향
CCW = 0 인 경우 세 점이 일직선
CCW < 0 인 경우 세 점이 이루는 방향이 시계 방향이라고 합니다.
이 관계를 그림으로 보면 다음과 같습니다.

후에 선 분의 교차 검증, 컨벡스헐 등의 다양한 기하 알고리즘에 이 CCW 알고리즘이 사용됩니다.
🐳 코드
import sys
f = sys.stdin
points = [list(map(int,f.readline().rstrip().split())) for _ in range(3)]
x1,y1 = points[0]
x2,y2 = points[1]
x3,y3 = points[2]
if (x3-x1)*(y2-y1) - (y3-y1)*(x2-x1) > 0:
print(-1)
elif (x3-x1)*(y2-y1) - (y3-y1)*(x2-x1) == 0:
print(0)
else:
print(1)
'Algorithm & Data Structure' 카테고리의 다른 글
| [백준 2098번] 외판원 순회 (비트마스킹) - Python / 시관초과 해결방법 (0) | 2023.07.02 |
|---|---|
| [백준] 다리 만들기 2 (17472번) - Python / MST ( Kruskal Algorithm ) (0) | 2023.06.12 |
| [백준] 문자열 폭발 (9935번) - Python (0) | 2023.06.05 |
| [백준] 별자리 만들기 (4386번) - Python (1) | 2023.05.31 |
| [백준] 타임머신 (11657번) - Python/Algorithm (0) | 2023.03.29 |